In these problems you will be asked to draw the chemical structures of the products of important reactions of organic compounds. These problems are new to the site. If you find issues or errors please leave a comment.
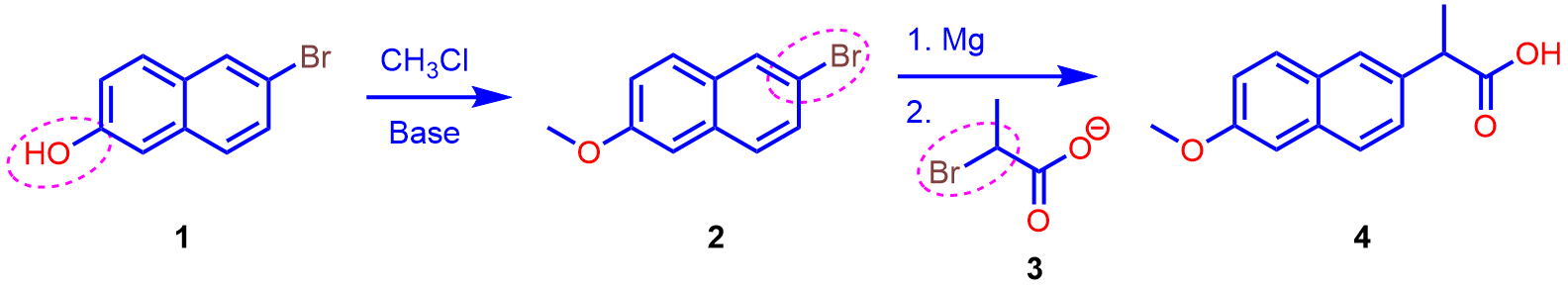
Perhaps the most important activity of organic chemists is that they make new, useful substances, including medicines, dyes, perfumes and flavourings, and detergents, to list just a few. These products are synthesised from simple organic starting materials by sequences of reactions that create the 'fameworks' of the desired materials and install the functional groups. For example, the scheme below shows some reactions that were used for large scale manufacture of the important anti-inflammatory drug naproxen.

The reactions that compounds undergo depend on the functional groups that are present. In the synthetic route above, phenol 1 is converted into an ether 2 using base and an alkylating agent. The bromide 2 is them converted into a Grignard reagent by reaction with magnesium, and that reacts with the alkyl bromide 3 to give naproxen 4 after acidification.
Clearly, it is crucial for students of organic chemistry to know about the chemical reactions that organic compounds undergo, including the scope of the reactions and the selectivity observed when more than one product is possible.
The problems on this page will test your knowledge of common reactions of organic compunds and your ability to predict the products formed in these reactions.
You will be given starting materials and reagents and asked to draw the products that will be formed.
Free Organic texts Libre Texts
Virtual Textbook of Organic Chemistry (Reusch) Contents
Reactions 'map' Common Functional Group Interconversions
Select topic(s):
Select arrows pointing towards a compound class to choose reactions used to prepare those compounds, and/or arrows pointing away from a compound class to choose reactions of those compounds.
| Synth | Compounds | Rxns |
| Alkanes | ||
| Alkyl halides | ||
| Alkenes | ||
| Alkynes | ||
| Aromatics | ||
| Alcohols Includes phenols | ||
| Ethers Includes epoxides | ||
| Amines Includes anilines | ||
| Alds, Ketones | ||
| Acids | ||
| Acid chlorides | ||
| Esters | ||
| Amides | ||
| Nitriles | ||
| Nitro cmpds |
Select problem type(s)
One type currently available.
Select difficulty
Select the difficulty of the initial problems.
Select one or more problem topics by clicking on the arrows on the left, and choose the difficulty level of the initial problems, then click the Get Problem button.
When the problem is displayed, further instructions will be provided here.
Feedback on your solutions will be provided here.
0
(Login to store & retrieve your stats.)
Average 0 stars from 0 ratings, thanks for your input.
A prerequisite for predicting the product(s) of a reaction is to learn about the reaction, including the transformation that takes place and any selectivity that is observed between possible products. Check your course materials, textbooks, or other resources, to learn how the functional group(s) in the starting material(s) react with each other or with the reagent(s) shown. A 'map' of common functional group interconversions provides a useful summary of important reactions and is available as a free pdf. When you are familiar with the reaction that is depicted in the problem, working out the strucure(s) of the expected product(s) can be tackled in a 'mechanical' way, and one strategy for doing this is described below.
| Step | Details |
|---|---|
|
Identify the reaction that is occurring. (Check for chemoselectivity.) |
The first, and perhaps the most difficult, step is to figure out what transformation is occurring. Refer to your learning resources to learn about the reagent(s) in the reaction scheme, and the reactions that the functional groups in the starting materials undergo. You should be able to identify a unique transformation that occurs when one or two of the functional groups react with the reagents (if any) under the conditions shown in the scheme. An example problem is shown below.
Review all the functional groups in the starting materials and assess if they are likely to react under the conditions. One of the starting materials in the problem is an alkyl bromide and one of the most common reactions of such compounds is that the bromide undergoes substitution by nucleophiles. The other starting material is a phenol, which is moderately acidic, and the reagent is a base (potassium carbonate) which would deprotonate the phenol to give a phenolate anion, which could then act as a nucleophile. There is also an aldehyde functional group in the starting materials, but a review of the reactions of aldehydes will show that this is unlikely to react under these conditions, i.e. this is a chemoselective transformation. Thus, the likely reaction is nucleophilic substitution to give an ether, i.e. R¹–Br + HOR² → R¹OR².
Note the overall bonding changes that occur in the transformation. In this example, (i) the bond from the nucleophilic atom to H is broken, (ii) the nucleophilic atom becomes bonded to the carbon bearing the bromine, and (iii) the carbon to bromine bond is broken. Other functional groups may be present, but not affected, in which case the reaction is said to be chemoselective. In this example, the aldehyde is inert under the conditions of the reaction. 'Inert' functional groups are indicated with dashed gray ovals in the schemes. |
|
Identify the reaction site(s) in the starting material(s). (Check for regioselectivity.) |
Having deduced what the transformation is, identify the reaction site(s), the atom(s) at which the bonding changes will occur and that will be retained in the product. The other atoms in the starting material(s) will not undergo any changes in the reaction. In our example, the reaction sites are the oxygen of the phenol and the carbon which undergoes substitution with displacement of the bromide (bright blue circles below).
Make sure that you identify all instances of the reactive functional groups and reactive sites, e.g. reduction of a diketone will involve two reaction sites. For most reactions, identifying the reaction sites is quite easy once the nature of the transformation has been established. However, for some important reactions the reacting functional group can react at more than one site, so the new functional group, or new substituent, can be attached at more than one position. In such reactions regioselectivity is an issue. Some common reactions that often give regioselectivity issues are additions to alkenes, electrophilic aromatic substitutions, and alpha-substitution of ketones. For example, the aromatic compound on the left below undergoes regioselective electrophilic aromatic substitution at the atom highlighted in bright blue, with minor amounts of products formed by reaction at the atom in pale blue. The ketone in the centre has two different alpha positions, and reactions at the atom highlighted in bright blue generally predominate. Finally, the alkene on the right is unsymmetrical and undergoes addition of unsymmetrical reagents with Markownikov, or anti-Markownikov, regioselectivity depending on the reagent.
|
|
Draw the skeleton of the product and add functional groups that remain unchanged in the transformation. |
The 'skeleton' of the product is the framework of carbons atoms, and other 'heavy' (non-hydrogen, most commonly O or N) atoms linking groups of carbon atoms. The distinction between the 'functional groups' and the 'skeleton' is somewhat arbitrary; what is important is that you correctly draw the skeleton and all functional groups when drawing a product. Take care to draw the correct number and arrangement of C, and linking O and N, atoms so that the product structure is correct. In order to focus on getting the skeleton right, leave the other bonds at the reaction sites unchanged at this stage, the necessary changes will be made in the next step. If the transformation is a 'functional group interconversion' that does not involve addition of carbon atoms from another starting material, the skeleton remains unchanged from the starting material and is relatively easy to draw. If the transformation involves joining of the skeletons of two starting materials together (formation of a new C–C, C–O, C–N or C–S bond), drawing the skeleton of the product is non-trivial. One way to do this is to carefully copy the skeletons of the two starting materials, and draw lines between reaction sites that are becoming bonded to each other, to form the skeleton of the product. If the transformation involves a rearrangement, the skeleton will, by definition, be changed, and you will need to understand the mechanism of the reaction to predict the skeleton of the product. The example below shows a Beckmann rearrangement involving skeletal reorganisation from a six- to a seven-membered ring. The skeletal rearrangement is indicated by dashed red (broken) and blue (formed) bonds in the starting material.
Then add all the functional groups that remain unchanged in the transformation, making sure that they are in the same positions as in the starting materials. That includes 'inert' functional groups that are not involved at all, but also groups that are involved, but do not change, because the reaction takes place at an adjacent carbon. A very common example is reaction at carbons alpha to carbonyl groups, in which a substituent is introduced at the alpha position but the carbonyl group remains intact. In our example, the skeletons of the two starting materials are joined via a new C–O bond, and the aldehyde group is added, as shown below (remember that we have not yet made the bonding changes at the reactive sites).
|
|
Make the required changes to the bonding at the reaction sites to the skeleton, so that the functional groups that are formed in the reaction are correct. |
Refer to the bonding changes that take place at each reaction site in the transformation, and make the appropriate bonding change(s) at the reaction site(s) in the specific example given in the problem. You should now have the functional groups that are formed in the transformation to the products. In our example the O of the phenol will lose a H, the C–Br bond will be broken, giving the ether (dashed red circle) shown below as the product of the reaction.
|
|
Draw the stereochemistry at chirality centres and/or alkenes. (Check for stereoselectivity.) |
First, remember that a stereogenic centre is an 'atom within a molecule bearing groups such that interchanging any two of them leads to a stereoisomer of the original molecule'.
There are two common types of stereogenic centres in organic compounds:
In order to correctly draw the stereochemistry of product molecules that contain stereogenic centres, you will need to consider three situations that may arise:
● Stereogenic centres that have remained unchanged in the transformation.
● Chirality centres formed by bonding changes at chirality centres in the starting materials.
● New chirality centres formed by bonding changes at atoms that were not chirality centres.
|
When you try the problems on this page, your answers will be analysed by checking that you have performed the steps shown above, and the feedback will be structured accordingly.